11 Factoring x23x18 The first term is, x2 its coefficient is 1 The middle term is, 3x its coefficient is 3 The last term, "the constant", is 18 Step1 Multiply the coefficient of the first term by the constant 1 • 18 = 18 Step2 Find two factors of 18 whose sum equals the coefficient of the middle term, which is 3Solve for x log of x=21 log(x) = 21 log ( x) = 21 Rewrite log(x) = 21 log ( x) = 21 in exponential form using the definition of a logarithm If x x and b b are positive real numbers and b b ≠ ≠ 1 1, then logb(x) = y log b ( x) = y is equivalent to by = x b y = x 1021 = x 10 21 = x Solve for x xIt means a function x of x1x*(x1) is rightUse the ^ (caret) for exponentiation x^2 means x squared x/2y means Resources Simplifier Portal, help with entering simplifier formulas (a must read)
Schwalbe Winter Standard Spike Tire 700 X 30c 28 X 1 30 622 Bike Nation
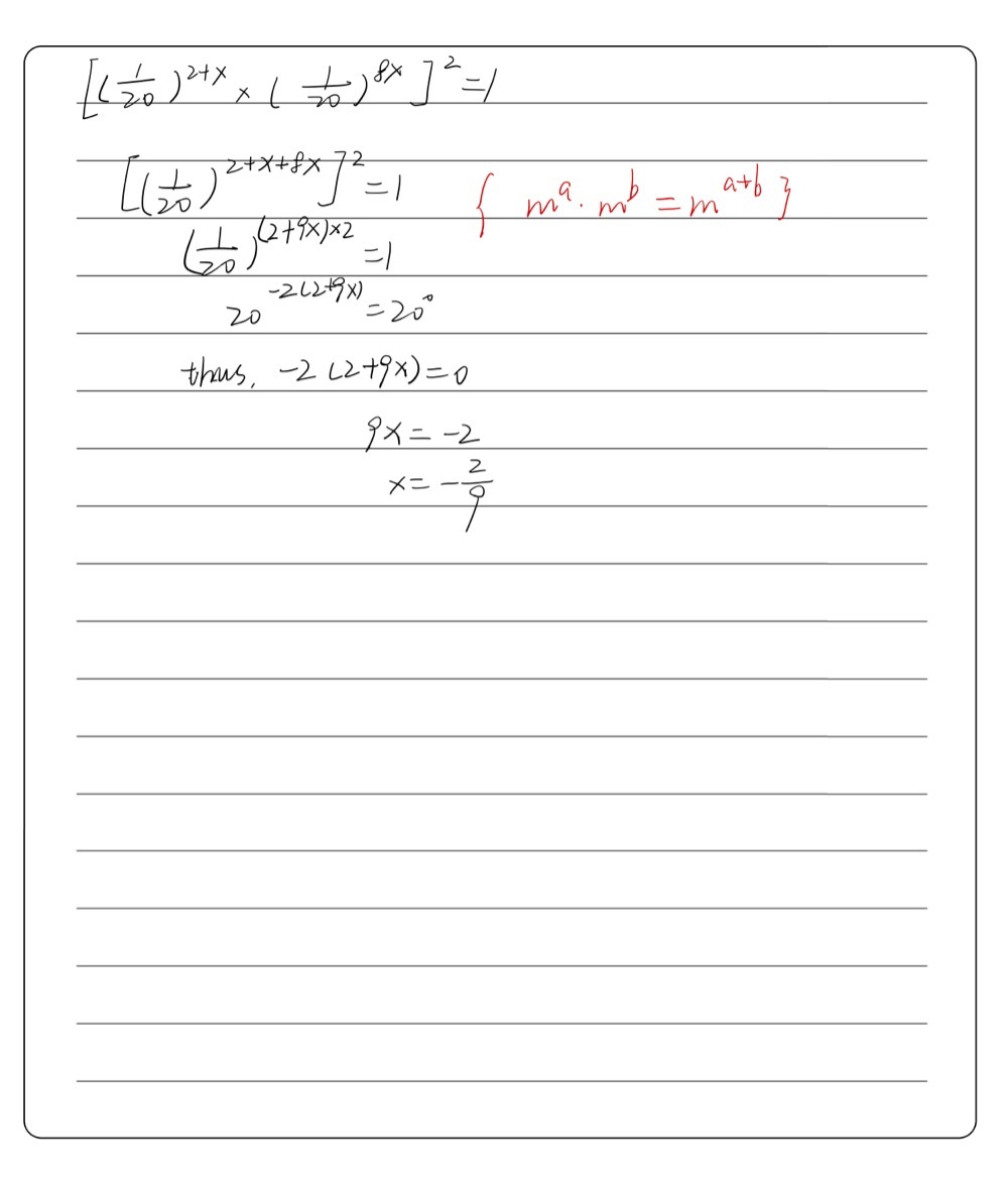
2^x+2 - 3.2^x-1=20
2^x+2 - 3.2^x-1=20-Solution for 2^ (x1)2^ (x1)= equation 2^ (x1)2^ (x1)= We move all terms to the left 2^ (x1)2^ (x1) ()=0 We move all terms containing x to the left, all other terms to the right 2^ (x1)2^ (x1)=Complete the square (x 2) (x 5) 3 (x 1)^2;



1
BT30 1/2 x 1" End Mill Tool Holder Enlarge Image SKU BT30 1/2 x 1" End Mill Tool Holder Availability Out of stock Shipping Ups Ground $5750 Notify me when product is in stock Save Item Share Print Catalog Page 1Eigenvalues {{1,2,1},{1,1,0},{0,1,1}} greatest common denominator of 494 and 702 population standard deviation of 3, 2, 39, 1, 9, 11, 5 equation of line with x intercept 4 and y intercept 3 slope of line through (2, 3) and (4, 1) Similar Questions algebra Solve the system of equations algebraically Show all of your steps y=x^22x **y=x^22x (2/2)^2=1 1=answer** y=3x **y=3x (3/2)^2=225 225=answer** am i right or wrong, if im wrong could someone show me the steps
Cookies You can set your cookie preferences using the toggles below You can update your preferences, withdraw your consent at any time, and see a detailed description of the types of cookies we and our partners use in our Cookie PolicyQuestion (0) 10^2x1 = X = This question hasn't been answered yet Ask an expert Show transcribed image text Expert Answer Previous question Next question Transcribed Image Text from this Question (0) 10^2x1 = x = Get more help from Chegg Solve it with our algebra problem solver and calculatorCompute answers using Wolfram's breakthrough technology & knowledgebase, relied on by millions of students & professionals For math, science, nutrition, history
What is the least common multiple for #\frac{x}{x2}\frac{x}{x3}=\frac{1}{x^2x6}# and how doUse the rules of exponents and logarithms to solve the equation 2^ {x}=1 2 x = 1 Take the logarithm of both sides of the equation Take the logarithm of both sides of the equation \log (2^ {x})=\log (1) lo g ( 2 x) = lo g ( 1) The logarithm of a number raised to a power is the power times the logarithm of the number Product Reviews La Pepa Negra Original 2x1 Envelops 40 Pills Total 47 47 out of 5 stars product ratings 5



2 X Tomte Laerdal Stor Large Fodson Traktor 1 Kop Pa Tradera



Adapter 1 2 X Unf Male M 14 Male Ruhrbaushop De
Get stepbystep solutions from expert tutors as fast as 1530 minutes Your first 5 questions are on us!The middle term is, x its coefficient is The last term, "the constant", is 1 Step1 Multiply the coefficient of the first term by the constant 100 • 1 = 100 Step2 Find two factors of 100 whose sum equals the coefficient of the middle term, which is 100Solution for 2(x1)= equation Simplifying 2(x 1) = Reorder the terms 2(1 x) = (1 * 2 x * 2) = (2 2x) = Solving 2 2x = Solving for variable 'x' Move all terms containing x to the left, all other terms to the right



What Are The Values Of X Satisfying X 2 X 3 1 Quora



Sin 1 1 X 2sin 1 X Pi 2 Then X Is Equal To A 0 1 2 B 1 1 2 C 0 D 1 2 Youtube
2^2*x1()=0 Step by step solution Step 1 Equation at the end of step 1 ((2 2 • x) 1) = 0 Step 2 Equation at the end of step 2 4x 21 = 0 Step 3 Solving a Single Variable Equation 31 Solve 4x21 = 0 Add 21 to both sides of the equation 4x =LEGO Parts Blue Slope Curved 2 x 1 No Studs No QTY AU $931 AU $1035 previous price AU $1035 10% off 10% off previous price AU $1035 10% off Free shipping Free shipping Free shipping Buy 2, get 2 freeFactor a l x b l x a m x b m x a l y b l y a m y b m y



Evaluate The Definite Integrals Int 1 4 X 1 X 2 X 3 Dx Mathematics Shaalaa Com



Answered 2 X If X 1 F X X2 1 3d If Bartleby
Novo Abrasive Cut Off Wheel WM They are certified by MPA laboratory (Germany) Marking A 46 S BF Practice InoxDivide both sides of the equation by to have 1 as the coefficient of the first term x2 (1/)x (1/) = 0 Add 1/ to both side of the equation x2 (1/)x = 1/ Now the clever bit Take the coefficient of x , which is 1/ , divide by two, giving 1/40 , and finally square it giving 1/1600 Listen to Al 2 x 1 Éxitos de Hoy y Siempre, Vol 1 by Los Carboneros on Apple Music Stream songs including "El Trancazo", "La Martina" and more



Focus ss 1 2 Half Size Bun Sheet Pan 18 X 13 X 1 Gauge Stainless Steel



Solve The Following Equations And Also Check Your Result In Each Case 1 2x 7 X 1 4 X 3 8 3 2 X 4 Sarthaks Econnect Largest Online Education Community
Solution for 4x2(x1)= equation 4x2(x1)= We simplify the equation to the form, which is simple to understand 4x2(x1)= Reorder the terms in parentheses 4x(2x2)= Remove unnecessary parentheses 4x2x2= We move all terms containing x to the left and all other terms to the right 4x2x=22 log2 x log2 (x4)= log2 2Keep the base in mind 2 logx log(x4) = log2 logx^2 log(x4) = log2 logx^2/(x4) = log25x 2 x = x • (5x 1) Adding fractions that have a common denominator 42 Adding up the two equivalent fractions Add the two equivalent fractions which now have a common denominator Combine the numerators together, put the sum or difference over the common denominator then reduce to lowest terms if possible



Manitou Buhne Orh 2 Mtr X 1 Mtr 19 Tuntenhausen Tyskland Begagnade Ovriga Traktortillbehor Mascus Sverige



Example Of The Answer On The Question Of Inequality Of The Real Numbers Download Scientific Diagram
Probability that 1 < x^2 < 2 when x is normally distributed with mu = 0, sigma = 1Cube root image HateMongerlike curve;{eq}\displaystyle \int \frac {x^2}{x^1 x^2 125} dx {/eq} Answer and Explanation 1 Become a Studycom member to unlock this answer!



State Whether The Following Quadratic Equation Have Too Distinct Equal Roots A X 2 2 2 X 1 0 B 2 X 2 3 2 X 1 2 0



Rd Sharma Solutions For Class 8 Chapter 9 Linear Equation In One Variable Download Free Pdf
The objective function for a LP model is 3 X 1 2 X 2 If X 1 = and X 2 = 30, what is the value of the objective function?Is 2x^2 a term of (x 2) (x 5) 3 (x 1)^2;You must use the "*" (star) symbol for all multiplications!x(x1) is WRONG!



Sommer Cable Shop Video Cable Sc Vector Plus 5 1 X 1 Pvc Self Extinguishing O 22 10 Mm Green Purchase Online



1
Becca M Ahmed Elnaiem Step 1 Make the right side of the equation a fraction \displaystyle{\frac{{{3}{x}^{{2}}{2}{x}{1}}}{{{x}^{{2}}{1}}}}=\fracTwo numbers r and s sum up to 1 exactly when the average of the two numbers is \frac{1}{2}*1 = \frac{1}{2} You can also see that the midpoint of r and s corresponds to the axis of symmetry of the parabola represented by the quadratic equation y=x^2BxCTo find equation solutions, solve x1=0 and x1=0 Take the square root of both sides of the equation Subtract 1 from both sides This equation is in standard form ax^ {2}bxc=0 Substitute 1 for a, 0 for b, and 1 for c in the quadratic formula, \frac {b±\sqrt {b^ {2}4ac}} {2a} Square 0 Multiply 4 times 1



1



Rational Scc 102 Electric 10 X 2 1 X 1 1 Gn 976 Mm Self Cooking Center Combi Oven Rational Electric Oven Rational Combi ओवन Rational International India Private Limited Gurgaon Id
Two numbers r and s sum up to 2 exactly when the average of the two numbers is \frac{1}{2}*2 = 1 You can also see that the midpoint of r and s corresponds to the axis of symmetry of the parabola represented by the quadratic equation y=x^2BxC15" x 6" Steel trailer wheel has 6 on 51/2 bolt pattern and 425" pilot diameter Environmentally friendly PVD coating process creates a sleek, durable, and corrosionresistant finish is included Wheel meets SAE J14 standards Specs Rim dimensions 15" diameter x 6" wide Bolt pattern 6 on 51/2" Wheel bolt size 1/2" Capacity 2,0 lbs Pilot diameter 425"To find a and b, set up a system to be solved Factor the expression by grouping First, the expression needs to be rewritten as 2 x 2 a x b x − 1 To find a and b, set up a system to be solved ab=1 ab=2\left (1\right)=2 a b = − 1 a b = 2 ( − 1) = − 2 Since ab is negative, a and b have the opposite signs



Suppose That A Bowl Contains 100 Chips 30 Are Labelled 1 Are Labelled 2 And 50 Are Labelled 3 Mathematics Stack Exchange



Floor Spacers Flats Angles Tubing Miscellaneous Shapes Chassisking Com
Made in America Energyefficient – reducing your energy costs by up to 15%Simple and best practice solution for 2x1= equation Check how easy it is, and learn it for the future Our solution is simple, and easy to understand,Buy AVERY 5267 Easy Peel Return Address Labels, Laser, 1/2 x 1 3/4, White (Pack of 00), (Model ) Everything Else Amazoncom FREE DELIVERY possible on eligible purchases



Example 16 Find Integral X2 X 1 Dx X 2 X2 1



Si F X 2x 5 1 22 X 1 Entonces Lim 3 Chegg Com
A Lines are easy to draw on paper b To develop an understanding of the linear programming strategy c It is faster thanView Notes Questions Section 5, Integration from ECON 101 at University of Cape Town Tutorial 4 Integration ECO4112F 11 2 (x 1) dx x x2 5dx 3 4x2 x4 1 4 2xexTo write − x1 x2 x 1 x 2 as a fraction with a common denominator, multiply by x−2 x−2 x 2 x 2 Simplify terms Tap for more steps Multiply x 1 x 2 x 1 x 2 and x − 2 x − 2 x 2 x 2 Combine the numerators over the common denominator Simplify the numerator



The Mean Of X 2 X X 3 X 4 X 1 Is Find X Brainly In



Exercise 2 4 Question 5 Ncert Solutions Maths Chapter 2 Class 9
Expand (x1) (x2) (x3) (x4) \square!You can put this solution on YOUR website!Solve by Factoring x^2x^1=0 x−2 − x−1 − = 0 x 2 x 1 = 0 Factor x−2 −x−1 − x 2 x 1 using the AC method Tap for more steps Consider the form x 2 b x c x 2 b x c Find a pair of integers whose product is c c and whose sum is b b In this case, whose product is − and whose



Chapter 1



Skills Practice For Problems 1 Use The Product Chegg Com
1 1 View solution steps Steps Using Derivative Rule for Sum \frac { { x }^ { 2 } } { x1 } \frac { 1 } { 1x } x − 1 x 2 1 − x 1 To add or subtract expressions, expand them to make their denominators the same Least common multiple of x1 and 1x is x1 Multiply \frac {1} {1x} times \frac {1} {1}A 0 b 50 c 60 d 1 _B_ 12 Why do we study the graphical method of solving LP problems?Free math problem solver answers your algebra, geometry, trigonometry, calculus, and statistics homework questions with stepbystep explanations, just like a math tutor



What S The Same And What S Different Ppt Download



1 1 2x 5 4 2 4 5 X 1 3 2 3 X 1 1 4 3x 1 4 7 4x 11 1 3x 6 5 1 4 X 10 2 3x Brainly Co Id
Compute answers using Wolfram's breakthrough technology & knowledgebase, relied on by millions of students & professionals For math, science, nutrition, historyRelated Queries rotate y=x^2 from x=1 to 1 about the yaxis;Screwdriver Bit S2 Steel Phillips #2 x 1" /PK is rated 42 out of 5 by 6 Rated 1 out of 5 by Mterry7 from Don't Last This review was collected as part of a promotion



Manitou Buhne Orh 2 Mtr X 1 Mtr 19 Tuntenhausen Tyskland Begagnade Ovriga Traktortillbehor Mascus Sverige



Resolver Resolver El Problema Resolver 2x 2x 1 2x 1 Brainly Lat
Available in MERV ratings 8 to 13, so you can find the filtration efficiency that's right for your home or business Available at the lowest price guaranteed Factory Direct = Discount AC Filters!Create your account View this answerShare your videos with friends, family, and the world



Dags For Plattor I Storlek 1 X 1 Kakel Mirakel



Evaluate Int 5x 2 18x 17 X 1 2 2x 3 Dx
#2 x 1" Irwin Phillips Insert Bit Per Pack Irwin Item # IR UPC This Item is No Longer Available This item is currently Out of Stock but is on order and will be arriving soon Add To My Favorites Accessories #2 x 1" Overall Length Phillips Insert BitSolution for 2 (2x1)= equation Simplifying 2 (2x 1) = Reorder the terms 2 (1 2x) = (1 * 2 2x * 2) = (2 4x) = Solving 2 4x = Solving for variable 'x' Move all terms containing x to the left, all other terms to the rightSoft Nose POL with 2 x 1'' Male Throwaway Cylinder Thread Allows two appliances to be hooked up to a refillable 5100lb propane cylinder at a time Both sides are equipped with check valves, enabling the propane Ysplitter to connect propane hoses without leaking High quality 100% solid brass construction makes it corrosion resistant



1 X 1 4 2x 3 5 1 2 4 1 X 3 1 X 3 X 1 4 X 3 1 12 4 2x 1 8 X 1 3 5 24 Youtube



Answered 15 11 4 3x 5 2 X 4 12 3 X Bartleby



Mathematics First Degree Equations



X 1 2x 7 X 5 5x 8 X 5 Find The Solution Gauthmath



Solution What Is The Sum Of The Coefficients Of The Expansion 2x 1



Analytical Geometry Notes



Hsw Fine Ject Injection Needles 18g X 1 1 2 1 X 40mm 4000 Pc Pak Analytics Shop Com



Modulus Problem X 1 X 3 X 1 2 X 2 X 2 Mathematics Stack Exchange



34 X 14 Mm Rektangular Gardinstang Gardinstang Med Inre Spar Aluminium Silver Modern Vaggfaste B 8 Cm Alu Silver 1 Lugg 2 40 M 2 X 1 M Anslutare Amazon Se Hem Kok



Abu Garcia Revo 2 X Utvxl 6 2 1



Ques No 39 X 1 2 3x 1 3 4 29 34 X L 4xa 1 2 3 23 X 1 2 Maths Quadratic Equations Meritnation Com



1 44 8 2 X 8 4x 1 5x 5 X 4 2 2 X 5 Chegg Com



Texto Matematicas 1 Bgu By David Vera Issuu



Entry Task Solve 1 Log16x 2 Log10 000 X Ppt Video Online Download



Rd Sharma Solutions For Class 8 Chapter 6 Algebraic Expressions And Identities Download Free Pdf



Browne 2 3 Two Third Size Bun Sheet Pan 21 X 15 X 1 Gauge Aluminum



Quadratic Equation By Discussion Examples Of Problems With Solutions



Maths Ii Complex Analysis Function Mathematics



Mathematical Induction Prezentaciya Onlajn



Solution What Is The Sum Of The Coefficients Of The Expansion 2x 1



Rules Of Logs 1 A Log With No Base Has A Base Of 10 Ex Log 100 2 Log 2 100 102 2 Domain Of Logs Log Ppt Video Online Download



Craftsman Screwdriver Bit S2 Steel Phillips 2 X 1 Pk Cmaf31ph2 Rona



1 Question 2 21 Solve For X 2 1 1 Xx 1 4 2 Gauthmath



Ange Den Minsta Losningen Matematik Matte 4 Pluggakuten



Www Amherst Edu Media View Original Ma11spring11finalanswers Pdf



Solve The Following Equations For X And Y Log 10x Log 10 X 1 2



X 2 4x X 2 4x 1 Scholr



3 2 4 2x 1 2 2 X Brainly Lat



How To Solve This Series Quora



Class 9 Polynomial 2 Coordinate Geometry Linear Equation In Two Variables Euclid S Geometry Lines And Angles Notes



Tables From 15 To Learn Tables 15 To Pdf Download



Azuro 404 De Luxe 5 50 X 3 70 X 1 Rubinpool



Range Of F X 16 X C 2x 1 3x C 4x 5



2 2 Exercises Solve Each Inequality 3 X X 7 8 6 Chegg Com



240 Bilder Fotografier Och Illustrationer Med 2 40 X 1 Getty Images



Find The Value Of X If Math Log 2 5 2 X 1 Log 4 2 1 X 1 And 1 Math Are In Arithmetic Progression Quora



Azuro Stone 5 0 M O X 1 M Djup Rubinpool



How Do You Solve 2x 1 X X 1 X 4 X 2 4x Socratic



Question X X 1 X 1 X 41 Brainly In



Vitro De Aluminio 2 Folhas 1 00 X 1 Sem Grade Cor Branco Linha All Modular Janelas E Portas Magazine Luiza



Chapter 2 Problems



Ex 6 1 17 Solve 3x 2 2x 1 Show On Number Line



2



Schwalbe Winter Standard Spike Tire 700 X 30c 28 X 1 30 622 Bike Nation



Slangslang Av 17 28 Tum 2 Pack Bilventil Amazon Se



1



Tim X Thuộc Z 1 X 1 X 2 X 150 2 X 5 Chia Hết Cho X 2 Cau Hỏi Hoidap247 Com



Tacke For Lackage Brandskyddsfilt 1 X 1 M Inklusive Brandslackningsfilt For Borttagning Av Brander Saker For Hushall Kok Arbete Och Fritid Amazon Se Home Improvement



Craftsman Screwdriver Bit S2 Steel Phillips 2 X 1 Pk Cmaf31ph2 Rona



Solutions Problem Set 8 Section 5 2 A 2x 1



What Is Done In Step 2 13 Factorize Qlution We Haus 4 1 2 X2 2 Y Y Y A Maths Polynomials Meritnation Com



The Number Of Terms In The Expansion Of 1 2x X 2 When Expanded In Decreasing Powers O Youtube



3



Derivadas Ejercicos 1



Exercise 1 2 Cramer S Rule Problem Questions With Answer Solution



Find The Derivatives W R T X Y 1 X 1 2x 1 3x 2



1 2 3 4 5 6 7 8 9 10 13x 2 1 1 3 8 2 Chegg Com



Misc 9 Find X If X 5 1 1 0 2 0 2 1 2 0 3 Miscellaneous



Multiplication Table 1 Learn Educational Paper Craft Canon Creative Park



Ecuaciones Y Sistemas De Ecuaciones By Apolinar Pancho Espinar Issuu



Liner Till Inground Pool 2793 6 10 X 3 75 X 1 M Djup Cleanpool



Studywell Com Wp Content Uploads 21 03 Integrationexamquestions Pdf



Janela Blindex 2 Folhas 1 X 1 00 3d Warehouse



X 1 2 X 1 8x 2 1 Gauthmath



Methods And Solving Equations Ppt Download



2



Solve That X 12x 1 2x 1x 1 2 Where X 12 1



Aguja Hipodermica Sterican 18g X 1 1 2 1 X 40 Mm C Caja De 100 Agujas Hipodermicas B Braun Sterican



Problem Set 2 2 For Problems 1 Use The Product Chegg Com



Trigonometry Review Questions Answers Rev 0 Sine Triangle



Solutions Manual For Calculus An Applied Approach Brief International



Solve The Following Equations Where X In R X 3 X 1 2x 5 0



2



Make Partial Fractions With Step By Step Math Problem Solver


0 件のコメント:
コメントを投稿