· y = x^{2} , y = 3x^{2} 2x , y = 8x^{2} 16x 15 , y = 16x^{2} 32x 9 , y = 6x^{2} 12x 7 , y = \left ( x 2 \right )^{2} How to find the zeros of a quadratic function – 4 best methods There are different methods of finding the zeros of a quadratic function We will see the best 4 methods of them Completing the square, Factoring, Quadratic formula, Graphing Find zeros of aHomework Answers Answer #1 It factors to (x5)(x8) Explanation Because we see that the highest order of #x# is 2, and the #x^2# term has no constants, we can write theSofsourcecom delivers good tips on factored form calculator, course syllabus for intermediate algebra and lines and other algebra topics In case that you seek advice on algebra 1 or algebraic expressions, Sofsourcecom happens to be the ideal site to stop by!
Answered Locity And 3 30 Y 2x 2 In Exercises 5 Bartleby
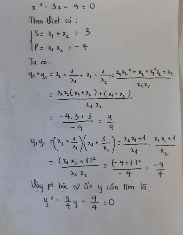
Y=x^2+3x-40
Y=x^2+3x-40-74 EBTANASSMP39 Sebidang taman berbentuk persegi panjang, ukuran lebarnya 5 m kurang daripada panjangnya sedang luasnya 126 m2 a Buatlah persamaan yang menunjukkan hubungan antara panjang, lebar; · Find the mass, moments, and the center of mass of the lamina of density \(\rho(x,y) = x y\) occupying the region \(R\) under the curve \(y = x^2\) in the interval \(0 \leq x \leq 2\) (see the following figure) Figure \(\PageIndex{5}\) Locating the center of mass of a lamina \(R\) with density \(\rho(x,y) = xy\) Solution


If 17x 23y 40 And 23x 17y 80 Then Find The Value Of X Y Brainly In
· How do you factor #y= x^2 – 3x – 40# ?Dan luas taman itu, dalam bentuk umum!The calculator will find the x (exact and numerical, real and complex) in the given equation
Current calculator limitations Doesn't support multivariable expressions If you have an expression that you want the calculator to support in the future, please contact us; · Stack Exchange network consists of 176 Q&A communities including Stack Overflow, the largest, most trusted online community for developers to learn, share their knowledge, and build their careers Visit Stack ExchangeWhat is the vertex form?
Algebra Polynomials and Factoring Monomial Factors of Polynomials 1 Answer Ben Mar 23, 18 It factors to (x5)(x8) Explanation Because we see that the highest order of #x# is 2, and the #x^2# term has no constants, we can write the factored equation as such #(xa)(xb)=x^2x(ab)(axxb)# using those relationships #ab= · 4x 2(3x 40) = 50 4x 6x 80 = 502x = 50 80 x = 30 2 x = 15 substitute "x=15" in eq(1) we get, 3(15) y = 40 45 y = 40 y = 45 40 y = 5 ^ total number of questions = 155 = ***** Example 4) Mary told her daughter, "Seven years ago, I was seven times as old as you were then Also, three years from now, I shall be three times as old as you will be " Find the presentMaths Genie Free Online GCSE and A Level Maths Revision


7 X2 5x6 8 X2 3x 40 Descubre Como Resolverlo En Qanda


Solved Shade The Solution Set To The Inequality 33 X 1 Chegg Com
Graph y=x^24x2 Find the properties of the given parabola Tap for more steps Rewrite the equation in vertex form Tap for more steps Complete the square for Tap for more steps Use the form , to find the values of , , and Consider the vertex form of a parabola Substitute the values of and into the formula Simplify the right side Tap for more steps Cancel the common factorTwo numbers r and s sum up to \frac{1}{3} exactly when the average of the two numbers is \frac{1}{2}*\frac{1}{3} = \frac{1}{6} You can also see that the midpoint of r and s corresponds to the axis of symmetry of the parabola represented by the quadratic equation y=x^2BxCEBTANASSMP9436 Faktorkanlah x2 – 3x – 40, dengan lebih dulu mengubah –3x menjadi penjumlahan dua suku !


Diketahui Persamaan Kuad Descubre Como Resolverlo En Qanda


Solve The Equation 3x Y 40 2x Y 25 Brainly In
By y = x2, y = 0, x = −1, and x = 1, about the line x = 2 The axis of rotation, x = 2, is a line parallel to the yaxis, therefore, the shell method is to be used The height of the shell is f(x) = x2, −1 ≤ x ≤ 1;And the radius is 2 − x (as measured from the axis of rotation when x = −1, r = 3, and when x = 1, r = 1) Hence, 3 8 4 1 3 2 4 1 3 2 2 3 4 2 2 (2 ) 2 (2 ) 2 1 1 4 3 1Y x 2 3x 40 a 40x 2 3x 38 158x 2 474x 351 b 1560x 2 School Kennesaw State University;


3 1 Day 4 Factor To Intercept Form And Find Zeros Youtube


Two Adjacent Angles Of A Parallelogram Are 2x 10 And 3y 40 Find The Measures Of All The Angles Of The Parallelogram Mathematics Topperlearning Com Kr7uao55
Il y a 2 jours · p}Q«´ ö ÙTD6 d z„離‰Æ Q ‚ŽLP ¹† J Š5¥ Öe¹ ÛM¨†U7 h„ç5 ' ç CL4PSZQút êP8mi¨BqG ç Ù >ê;Solving x 2 3x40 = 0 directly Earlier we factored this polynomial by splitting the middle term let us now solve the equation by Completing The Square and by using the Quadratic Formula Parabola, Finding the Vertex 31 Find the Vertex of y = x 2 3x40 Parabolas have a highest or a lowest point called the VertexGet RD Sharma Solutions for Class 8 Chapter Factorization here BeTrainedin has solved each questions of RD Sharma very thoroughly to help the students in solving any question from the book with a team of well experianced subject matter experts Practice Factorization questions and become a master of concepts All solutions are explained using stepbystep approach


Solved 6 X210x 11 11 5x2y 30hug 40y3 12 4x2y 1 Chegg Com


X 3 X 2 3x 7 2x 3 Mathematics Topperlearning Com Yrt
StepbyStep Solutions Use stepbystep calculators for chemistry, calculus, algebra, trigonometry, equation solving, basic math and more Gain more understanding of your homework with steps and hints guiding you from problems to answers!=> y = x/2 As speed is uniform, To go with x, it takes around 10 min and with x/2, it takes around 5 min Question 7 The angle of elevation of a tower at a point distant d meters from its base is 30 0?RD Sharma Solutions for Class 8 Chapter 7 Factorization are provided here which provides step by step solutions to each and every exercise present in this chapter


Systems Of Equations With Substitution 9x 3y 15 Y X 5 Video Khan Academy


Answered For Exercises 81 100 Make An Bartleby
Type Test Prep Uploaded By csoulant Pages 11 This preview shows page 4 8 out of 11 pagesAlgebra PolynomialsAndFactoring MonomialFactorsOfPolynomials 0 0 Add a comment Next > < Previous Sort answers by oldest Votes;Polymathlovecom provides insightful tips on Factor Binomial Calculator, dividing rational expressions and syllabus for intermediate algebra and other algebra subjects If you need to have advice on real numbers as well as solving equations, Polymathlovecom happens to be the right site to take a look at!


Factor Completely 6 Ppt Download


Graph Graph Equations And Equation Systems With Step By Step Math Problem Solver
Simple and best practice solution for y=x^23x40 equation Check how easy it is, and learn it for the future Our solution is simple, and easy to understand, so don`t hesitate to use it as a solution of your homework If it's not what You are looking for type in the equation solver your own equation and let us solve it Equation SOLVE Solution for y=x^23x40 equation Simplifying yIf the tower is meters high, then the value of d is (a) 10√3 m (b) √3 m (c) 10 m (d) /√3 m Answer (b) Solution cot 30 0 = d => d = √3 m Question 8 Let a vertical31 Find the Vertex of y = x 23x40 Parabolas have a highest or a lowest point called the Vertex Our parabola opens down and accordingly has a highest point (AKA absolute maximum) We know this even before plotting "y" because the coefficient of the first term, 1 , is negative (smaller than zero) Each parabola has a vertical line of symmetry that passes through its vertex


Two Adjacent Angle Of A Parallelogram Are 2x 10 And 3x 40 Find The Measure Of All Angles Of Brainly In


Expand And Simplify Expand Two Brackets By Multiplying Them Out And Then Collecting Like Terms By Adding Or Subtracting Great Marlow School Mathematics Ppt Download
Free factor calculator Factor quadratic equations stepbystepFunction Grapher and Calculator Description All Functions Description Function Grapher is a full featured Graphing Utility that supports graphing up to 5 functions togetherEn este video aprenderás a resolver desigualdades cuadráticas_____ ️ Lista de videos


Ethiopia Learning Math Grade 7 Page 40 In English


X2 Soporte De Midi Y Kit De Fusibles 3x 40 Amp Fusibles Doble Bateria Caravana Audio Rapido Post Ebay
Course Title MATH 1106;Factoring Expressions Video LessonThis Instructor's Solutions Manual contains the solutions to every exercise in the 12th Edition of THOMAS' CALCULUS by Maurice Weir and Joel Hass, including the Computer Algebra System (CAS) exercises


A X2 3x 40 Descubre Como Resolverlo En Qanda


Publishing platform for digital magazines, interactive publications and online catalogs Convert documents to beautiful publications and share them worldwide Title Mathématiques Spécialité Tle, Author Lelivrescolairefr Éditions, Length 472 pages, Published 0225LET Gen Ed Math Lecture and Tests Prof Henry Free ebook download as Powerpoint Presentation (ppt / pptx), PDF File (pdf), Text File (txt) orThe equation of a curve C is y = x 2 3x 4 The curve C is transformed to curve S under the translation (4,6) (b) Find an equation of curve S The line with equation y = x 2 intersects the curve with equation x 2 y 2 — 2y = 24 at the points A and B Find the coordinates of A and B Show clear algebraic working ABC is a triangle


If 17x 23y 40 And 23x 17y 80 Then Find The Value Of X Y Brainly In


Answered Locity And 3 30 Y 2x 2 In Exercises 5 Bartleby
· CONTOH 2Carilah Turunan dari fungsi berikut ini y = (x 2)(x 3) 4 54 AKTIVITAS SISWA dy1 Tentukan pada soal berikut ini dx a y = 3u dan u = 2x 1 15 b y = 4u dan u = x 2 x 3 22 Tentukan Turunan fungsi berikut a f(x) = 7x 2x 5 2 f(x) = ( x − 3 x 1 ) 3 2 b 2 55 PERSAMAAN GARIS SINGGUNG DISUATU TITIK PADA KURVA h Q(xh,f(xh))f(xh)f(x) gCalculator for calculus limits Compute limits, onesided limits and limit representations Get series expansions and interactive visualizations Powered by WolframAlphaThe vertex form is a special form of a quadratic function From the vertex form, it is easily visible where the maximum or minimum point (the vertex) of the parabola is The number in brackets gives (trouble spot up to the sign!) the xcoordinate of the vertex, the number at the end of the form gives the ycoordinate


Intro To Partial Fraction Expansion Video Khan Academy


Warmup 1 Solve By Factoring 2 Write The
In this math video lesson I review how to factor x^23x4 Factoring is a good skill for students in Algebra 2 and the techniques used in this video can be1 − 2 x − 37 x 2 − 3 x − 40 1\frac{2x37}{x^23x40} 1 − x 2 − 3 x − 4 0 2 x − 3 7 s Question 5 SURVEY 300 seconds Report question Q Find the values of A, B, and C that will make the equation shown below true 3 x − 5 4 x 3 − 2 x 1 7 x − 2 = A x 2 B x C (4 x 3) (7 x − 2) \frac{3x5}{4x3}\frac{2x1}{7x2}=\frac{Ax^2BxC}{\left(4x3\rightY›¯fÂØVtõvR jÿûÔD èQC b


Am I Still Correct Even Though I Got 4y 3x 40 Is That That Same As 3x 4y 40 Algebra


Answered Graph The Solution Set Of The System Of Bartleby
· 3 Given that y = x 2 find the image of the curve y = x 2 after each of the following combinations of transformations a a stretch in the ydirection with factor 3 followed by a translation by theFree PreAlgebra, Algebra, Trigonometry, Calculus, Geometry, Statistics and Chemistry calculators stepbystepAcademiaedu is a platform for academics to share research papers


Cho Phng Trnh X2 3x 40 C Lihat Cara Penyelesaian Di Qanda


Diketahui Persamaan Kuad Descubre Como Resolverlo En Qanda
Math 461 Introduction to Probability AJ Hildebrand Variance, covariance, correlation, momentgenerating functions In the Ross text, this is covered in Sections 74 and 77Homework # 8 Solutions Math 111, Fall 14 Instructor Dr Doreen De Leon 1Suppose x 2Z Then x is odd if and only if 3x 5 is even Solution ProofTwo numbers r and s sum up to 3 exactly when the average of the two numbers is \frac{1}{2}*3 = \frac{3}{2} You can also see that the midpoint of r and s corresponds to the axis of symmetry of the parabola represented by the quadratic equation y=x^2BxC The values of r and s are equidistant from the center by an unknown quantity u Express


Compute The Area Of The Region Bounded By The Given Curves Y X 2 4x Y 3x 8 Study Com


Let Y Be The Volume And Bedro See How To Solve It At Qanda
· From the given #y=x^23x40# perform "Completing the square method# #y=x^23x40# We add and subtract #9/4# to complete the square #y=x^23x9/49/440# #y=(x3/2)^2169/4# #y169/4=(x3/2)^2# #(x3/2)^2=y169/4" " "# the Vertex Form God blessI hope the explanation is useful · y = x 2 – 4x – 2 Answer Question 40 y = x 2 – 2x 4 Answer In Exercises 41–46, determine whether the quadratic function has a maximum or minimum value Then find the value Question 41 y = x 2 – 4x – 2 Answer Question 42 y = x 2 6x 10 Answer Question 43 y = x 2 – 10x – 30 Answer Question 44 y = x 2 14x – 34Publishing platform for digital magazines, interactive publications and online catalogs Convert documents to beautiful publications and share them worldwide Title Barbazo algo Cahier Corigés, Author nathandrmc, Length pages, Published 0126


Solved Problem 10 Which Of The Following Represents The Chegg Com


Exercise 3 15 Quadratic Graphs Problem Questions With Answer Solution Mathematics
Graph y=x^23x40 Find the properties of the given parabola Tap for more steps Rewrite the equation in vertex form Tap for more steps Complete the square for Tap for more steps Use the form , to find the values of , , and Consider the vertex form of a parabola Substitute the values of and into the formula Multiply by Find the value of using the formula Tap for moreHow do you factor #y= x^2 – 3x – 40# ?


Solved Chapter 11 Section 11 3 Question 026 Find The Re Chegg Com


Ex 6 3 14 Solve Graphically 3x 2y 150 X 4y 80


Solved 4 Find The X And Y Intercepts Of F X X2 3x Chegg Com


Dada A Funcao Y X 3x 2a Obtenha Os Zeros Da Funcao B Esboce O Grafico Da Funcao Brainly Com Br


Lim X 0 1 3x 40 5 Y 10 3 2y 2 25 2lim


Guia De Factorizacion Suma Y Resta


7oaks Homework Sept 12 Page 2 3 Created With Publitas Com


Solved Analyze The Graph Of The Function X2 3x 40 A Wh Chegg Com


Review Homework Page 17 19 30 32 Ppt Download


Silently Review Your Notes And The Returned Assignments


Answered G X U G Fx 00 O 7 26 Find F X Bartleby


Ans Exercise 5 B 12 40 a2 Ta2 5a B 9 35 A 17 Factorise X2 3x X2 3x 1 18 For Each


Warm Up 2 Find The Product A X 5 2 B 4 X 5 X 5 Answer Ppt Download


Solved Consider The Quadratic Function F X X 2 3x Chegg Com


Algebra 2 4 1 Graph Quadratic Functions In Standard Form Pdf Free Download


Answered V4 3x 14 F X 12 15 F X Sin 16 Bartleby


Factor Completely 6 Ppt Download


Rd Sharma Solutions For Class 8 Chapter 7 Factorization Download Free Pdf


Plez Srochno Postrojte Parabolu X 2 3x Gt 40 Formula X1 8 H2 5 Srochno 30 Ballov Shkolnye Znaniya Com


Answered 41 22 If 2y X 40 And 3x Y Bartleby


Answered 31 Y 10 Y Sin X Y 2x M X 0 32 Y Bartleby


X 3x 40 0 Ayudaaaaa Plis Brainly Lat


Solutions Manual For Calculus For Business Economics And The Social A


Answered In Problems 27 40 Use Transformations Bartleby


Dfrac8x2dfrac 322 Y See How To Solve It At Qanda


Sroooochno 19bbbnajdite Oblast Opredeleniya Funkcij 19b 1 U Koren Iz H 2 3x 40 2 Y Shkolnye Znaniya Com


Pdf Print Complete Mathematics For Cambridge Igcse Fifth Edition Extended Cambridge Igcse Mathematics Igcse Maths


Diketahui Persamaan Kuad Descubre Como Resolverlo En Qanda


Vertex Form Of Quadratic Functions Math 2 Y


Quadratic Functions Ppt Download


Maths Pages 101 150 Flip Pdf Download Fliphtml5


Consider The Graph Of The Quadratic Function Y X 2 3x 40 What Are The Roots Of The Brainly Com


3 2x 3 5 X 4 2 3x 5 5x


Solved Question 1 Simplify X 3x 40 X 2x 15 2 5x Chegg Com


852 Sin X2 3x403ycos 2x 일 때 콴다 Qanda 에서 풀이 방법 보기




Diferencial Calculo 11


Solved 1 Solve 3 X 1 2 2x 2 3x 1 Express The Solut Chegg Com


Warm Up Algebra 1 Evaluate To 2 Decimal Places Debbiebaker


Quadratische Gleichung X 2 3x 40 Mittels Pq Formel Losen Mathelounge


Consider The Graph Of The Quadratic Function Y X2 3x 40 What Are The Roots Of The Function Brainly Com


Photos Sur Le Mur De Thao Vk Knitted Animals Amigurumi Doll Cat Blanket


Yes But Why Trying To Help Students Understand What They Re Doing


Solving Simultaneous Equations By The Algebraic Method Ppt Download


I Can Graph Quadratics Warm Up Warm Up


Descargar Eskakeados


Solved E Transformations To Graph Each Function And State Chegg Com


Calculo


Question Video Solving Quadratic Inequalities In One Variable Algebraically Nagwa


Free Math Answers Answers Within 24 Hours Step By Step Explanations


Zapolni Tablicu Znachenie Argumenta Znachenie Funkcii Y 2x2 5x 6 Y 3 X 7 2 Shkolnye Znaniya Com


Chapter 4 Section 2 Example 1 Graph A Quadratic Function In Vertex Form Graph Y X 2 Solution Step 1 Identify The Constants A Ppt Download


4 Calcule A Medida De X Nas Figuras X 3x 40 Brainly Com Br


Reshite Uravnenie 1 X 4 2 3x 40 2 2x 3 2 11x 19 3 X 2 2 7918 2x 4 X 2 2 3131 2x Shkolnye Znaniya Com


10 0 And Passage I A Variable Line L Is Drawn Though 0 0 0 To


Example 13 Solve 5x 4y 40 X 2 Y 3 Graphically


X 3 19 X 30 X 2 3x 40 Find The Simplest Form Of X3 19x 30


0 件のコメント:
コメントを投稿